苏州工业废水处理企业安峰公司,在企业废水处理施工流程中对污泥产生量会进行估算。安峰工业废水采用独特处理系统,废水中污泥含量市场上一般含有量在0.3%-0.5%,若对工业废水达到回用目的,对水质进行深度处理的话,污泥产出量会增加0.5-1倍左右。整个工业废水处理方案会注重污泥产出比,并对污泥处理费用有一个预估。
不同工业废水中产生污泥种类不同,特性出会有差异。污泥处理费用也将是工业废水处理后续延伸。污泥处理在工业废水中以何种形式存在?污泥种类又有哪些具体分类?
一、污水处理污泥分类及特性
1、按成分不同分
污泥:以有机物为主要成分。其主要性质是易于腐化发臭,颗粒较细,比重较小(约为1.02~1.006),含水率高且不易脱水,属于胶状结构的亲水性物质。初次沉淀池与二次沉淀池的沉淀物均属污泥。
沉渣:以无机物为主要成分。其主要是颗粒较粗,比重较大(约为2左右),含水率较低且易于脱水,流动性差。沉砂池与某些工业废水处理沉淀池的沉淀物属沉渣。
2、按来源不同分
初次沉淀污泥(也称生污泥或新鲜污泥):来自初次沉淀池。
剩余活性污泥(也称生污泥或新鲜污泥):来自活性污泥法后的二次沉淀池。
腐殖污泥(也称生污泥或新鲜污泥):来自生物膜法后的二次沉淀池。
消化污泥(也称熟污泥):生污泥经厌氧消化或好氧消化处理后的污泥。
化学污泥(也称化学沉渣):用化学沉淀法处理污水后产生的沉淀物。例如,用混凝沉淀法去除污水中的磷;投加硫化物去除污水中的重金属离子;投加石灰中和酸性污水产生的沉渣以及酸、碱污水中和处理产生的沉渣等均称为化学污泥。
3、城市污水厂污泥的特性见表
表城市污水处理厂污泥的性质和数量

4、污泥中水的存在形式
空隙水,颗粒间隙中的游离水,约70%,可通过重力沉淀(浓缩压密)而分离;
毛细水,是在高度密集的细小污泥颗粒周围的水,由毛细管现象而形成的,约20%,可通过施加离心力、负压力等外力,破坏毛细管表面张力和凝聚力的作用力而分离;
颗粒表面吸附水和内部结合水,约10%。表面吸附水是在污泥颗粒表面附着的水分,起附着力较强,常在胶体状颗粒,生物污泥等固体表面上出现,采用混凝方法,通过胶体颗粒相互絮凝,排除附着表面的水分;内部结合水,是污泥颗粒内部结合的水分,如生物污泥中细胞内部水分,无机污泥中金属化合物所带的结晶水等,可通过生物分离或热力方法去除。
通常含水率在85%以上时,污泥呈流态;65%~85%时呈塑态;低于60%时则呈固态。
二、城市污水厂产泥的计算
城市污水处理产生的污泥主要是初沉池污泥和活性污泥(剩余污泥量),计算方法如下:
1、初沉污泥体积流量V1

式中:
Q——污水流量,取污水厂的平均日流量,m3/d;
C——进入初沉池污水中悬浮物浓度,kg/m3;
η——初沉池沉淀效率(城市污水厂一般取50%),%;
P1——污泥含水率(一般取95%-97%),%;
ρ——初沉池污泥浓度(以1000kg/m3计),kg/m3。
或者按下面公式计算:

式中:
SL——每人每日污泥量[按每人每日计产生的初沉污泥量为14-27g,初沉污泥含水率以95%-97%计,则每人每日产生初沉污泥量一般采用0.3-0.8L/(人·d)],L/(人·d);
N——设计人口数(可采用城市人口数或污水处理厂设计当量人口数),人;
t——初沉池两次排泥的间隔时间,d。
应注意V1是计算公式中所取定含水率P1时的污泥量。
2、剩余污泥体积流量V2
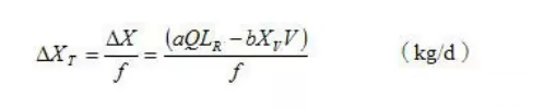
(1)剩余污泥干质量ΔXT
每日排除剩余污泥干重ΔXT(kg/d)等于活性污泥系统中每日产生的活性污泥干质量。

式中:
ΔX——挥发性物质基污水厂剩余污泥流量,kg/d;
Q——平均体积流量,m3/d;
a、b——污泥产率系数和污泥自身氧率,以生活污水为主的城市污水,一般为0.5-0.6,为0.06-0.1/d;
LR——曝气池进水BOD5浓度差,kg/m3;
XV——曝气池混合液挥发性悬浮物固体浓度,kg/m3;
V——曝气池容积,m3;
f——曝气池挥发性悬浮固体和悬浮固体浓度值比,
?。?)剩余污泥的体积量V2

中:
P为剩余污泥含水率,取99.2%-96%。
3、浓缩剩余污泥体积流量V3

式中:
V2——浓缩前的污泥量;
P,P1——浓缩前、后的污泥含水率,可分别取99.2%和96%。
工业废水处理企业安峰公司注重整个处理流程实施,废水处理系统设备也会影响污泥产出比。污泥出水时含量达到80%以上,企业要经过干化处理后水量达到20%以下,极大降低企业的处理成本。苏州工业废水处理公司排名中,安峰环保算是比较知名一家企业,在废水处理设备、流程、施工人员方面,都会制定严格的处理方案,欢迎广大客户前来咨询: