大学办公楼的中央空调水循环系统进行了全面的清洗,以下是清洗概述。
1.中央空调水系统结构概述
(1)制冷系统该中央空调制冷系统由压缩机、冷凝器、节流装置(膨胀阀和毛细管)和蒸发器四部分组成,在制冷管道内组成密闭系统,氟里昂在密闭系统内不断循环流动,发生状态变化与外界进行热交换,流程图如图5-6所示。

(2)冷却水系统空调冷却水系统由储水池、油冷器、冷凝器、凉水塔、补水管等组成,如图5-7所示。水在冷凝器管程内流动,制冷剂在壳程外流动。进水水温为32-35℃,出水水温为42℃。储水池在楼层底部,容积为18m3。油冷器的作用是将制冷压缩机内的润滑油降温,防止温度过高结焦。凉水塔在楼层顶部并设有一细补水管,由浮球阀进行自动给水控制。

(3)冷冻水系统空调冷冻水系统如图5-8所示,由给水泵、蒸发器、加热器、风机盘管等几部分组成??盏鞯睦涠乘杓莆露任?-8℃,由于结垢的原因,清洗前出水水温为5-8℃,回水水温5℃。一般来讲,出水水温<10℃基本就能满足房间的制冷要求。加热器在冬天的时候,通过蒸汽加热可用于房间的供热取暖。布置在各房间内的风机盘管由通风机和换热排管组成,风机盘管的盘管由钢管串钢片组成,传热性好,冷热兼用。夏季,风机盘管里面通以冷冻水可以作冷却盘管,对空气进行降温去湿处理;冬季通过加热器加热的热水可对室内循环空气进行加热处理。

2.垢样分析
中央空调的冷水机组每次采样测定的间隔不少于30d。
为了选择合适的清洗液,对冷却水机组、冷冻水机组进行了取样分析,结果见表5-16。

经分析,初步确定冷冻水系统垢物主要为Fe2O3,Fe3O4,碳酸盐垢及少量铜垢;冷却水机组垢物主要为Fe2O3,Fe3O4,碳酸盐垢及生物黏泥。
3.冷却器清洗方法的选用
这里选用化学清洗法,因为手工法劳动强度大,机械法易损坏冷却器的焊口和胀口,而且只适用于钢制冷却器,不适用于铜制冷却器。化学清洗法操作简单、方便、腐蚀率低、消除积垢最彻底,因此选用化学清洗法。
4.清洗液的配制
盐酸不仅清洗效果良好,而且经济实惠,盐酸清洗机理见表5-17。

表5-17盐酸清洗机理
由于冷却器管程内管道为紫铜管,连接方式为焊接而非胀接,房间内换热排管部分很细(12.7mm),管壁薄,鉴于此种情况,清洗液浓度配合比选在4%-5%(质量分数),清洗时间为6h,以免造成过洗或洗漏。为防止镀铜现象的产生,可加入少量硫脲。
清洗液确定为盐酸+缓蚀剂+硫脲。
5.Fe3+在中央空调清洗中的应用
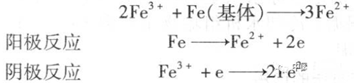
垢样分析结果表明,中央空调垢物所含Fe2O3、Fe3O4占了很大的比例,随着清洗时间的延长,清洗液中Fe3+含量会越来越多。由于Fe3+是一种良好的阴极去极化剂,当它被还原的时候,基体铁也就被腐蚀下来,反应式如下所示:

由以上反应式可知,随着反应时间的增加,Fe3+、Fe2+含量会越来越高,如图5-9和图5-10所示。

当Fe3+、Fe2+浓度趋于稳定时,可认为酸洗已基本结束。如果继续进行下去,则Fe3+浓度又将升高,这时就产生了过洗现象。所以清洗中监测Fe3+浓度显得很重要,当Fe3+>500mg/L时,适量添加一些还原剂SnCl2、Na2SO4等,以抑制基体铁的腐蚀。Fe3+含量最高不得超过1500mg/L。通过分析检测Fe3+,Fe2+含量,还可判断在清洗过程中是否有过洗现象。
6.清洗时的注意事项
1)空调房间换热排管管径为12.7mm,一个回路同时串联4-5个房间,清洗时易引起堵塞,给后续工作带来麻烦,所以清洗系统设计时尽可能分成几个部分,逐段清洗。
2)清洗冷冻水系统所用的耐酸泵为空调机房内的2台给水泵,流量为100m3,扬程为34m,为避免造成死角,清洗时可交替使用,效果会更好。
3)空调房间内风机盘管最大的缺点是漏水。有些接头存在的细微渗漏处被垢堵塞,当清洗液进入管道内同垢层接触反应后很可能被冲通,清洗液将会滴在顶棚吊顶上,破坏了建筑物表面,影响美观。因此,在清洗冷冻水系统时要求清洗人员加强检查,经常巡视各房间,遇到泄漏及时处理。
7.清洗效果评价
此次清洗彻底清除了办公楼中央空调内部的铁锈、水垢及安装期间余留的泥沙等悬浮物,解决了空调房间内换热排管与风机盘管堵塞问题;维护了中央空调的正常运行,使其恢复了原有的风貌。
以上是关于高校办公楼中央空调水系统清洗案例介绍,若想了解更多关于中央空调水系统清洗内容,欢迎关注安峰环保官网,谢谢。

公司电话:400-058-1098
公司传真:0512-82175780
公司邮箱:service@anfengtech.com
公司地址:苏州工业园区唯文路8号D栋